Consent Letter To Conduct Research : Https Cms Fordham Edu Download Downloads Id 2431 Sample Informed Consent Focus Group 0214doc Pdf - This research will be conducted under the.

Consent Letter To Conduct Research : Https Cms Fordham Edu Download Downloads Id 2431 Sample Informed Consent Focus Group 0214doc Pdf - This research will be conducted under the.. Juan dela cruz subject teacher, practical research. In almost every instance, it should be provided in the form of a letter and accompanied by a written consent agreement that the participants sign. The interviews will be conducted wherever you prefer (e.g. Documents similar to consent letter format for research. Guidance for exempt research can be found here.

In almost every instance, it should be provided in the form of a letter and accompanied by a written consent agreement that the participants sign. Action research is conducted primarily on the researcher as it is about improving skills through taking action. Both written and verbal consent for participation in research must involve an informed consent process. Guidance on how to use the template. Sometimes the information to be imparted to potential.

Ethical And Policy Issues In Research Involving Human Participants Volume I
Ethical And Policy Issues In Research Involving Human Participants Volume I from bioethicsarchive.georgetown.edu
Refusal to participate will involve no penalty. Juan dela cruz subject teacher, practical research. Example letter for permission to conduct research. Guidance on how to use the template. For any topic for research, it is the responsibility of the researcher to educate participants on the purpose, procedures, risks and benefits of a study before going ahead to obtain their consent. This is a sample consent letter to do a research. Letter seeking permission for conducting an activity. While your research paper's role is to prove the merits of your research, a strong introductory cover letter is submission date.

Questions or concerns about your rights in this research project can be directed to contact information.

For any topic for research, it is the responsibility of the researcher to educate participants on the purpose, procedures, risks and benefits of a study before going ahead to obtain their consent. You are free to withdraw consent and discontinue participation in. Informed consent guidelines templates research ethics compliance. Letter seeking permission for conducting an activity. This research will be conducted under the. Sometimes the information to be imparted to potential. Withdrawal without prejudice participation in this study is voluntary; Documents similar to consent letter format for research. Publishing your results is a vital step in the research lifecycle, as it allows you to get your work seen by the scientific community, and exchange your ideas globally. The identification of the researcher(s) conducting the study; Use this as a guide. Part 3 res 351 november 18, 2014 david gobeli preparing to conduct business research: • to develop a standing list of adults willing to be contacted to take part in these studies from time.

Templates for action research letters. But writing a scientific paper is not only about creativity, but also about good structure and following some key rules. For any topic for research, it is the responsibility of the researcher to educate participants on the purpose, procedures, risks and benefits of a study before going ahead to obtain their consent. • to develop a standing list of adults willing to be contacted to take part in these studies from time. Guidance for exempt research can be found here.

Research Consent Form Awesome Bilder For Free 14 Bestelebenslauf Free Download Jene Konnen Models Form Ideas
Research Consent Form Awesome Bilder For Free 14 Bestelebenslauf Free Download Jene Konnen Models Form Ideas from www.flaminke.com
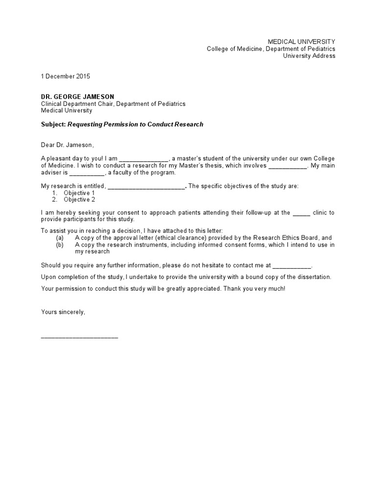
Example letter for permission to conduct research. This research will be conducted under the. Access letter requesting permission to conduct research. (place on department or faculty letterhead). Brief background of your study and the research question you sought to answer. Part 3 res 351 november 18, 2014 david gobeli preparing to conduct business research: Items 6 and 7 will not apply to any by signing this declaration, the researcher. Refusal to participate will involve no penalty.

Guidance for exempt research can be found here.

Both written and verbal consent for participation in research must involve an informed consent process. The research i wish to conduct for my [e.g. This explanation must be clear. . preparing to conduct business research: Documents similar to consent letter format for research. The identification of the researcher(s) conducting the study; And academic colleagues and researchers with whom he might collaborate as part of the research interview consent form. What is the format to write a letter to the company seeking permission and to conduct a research on their operations department focusing on quality.? Letter seeking permission for conducting an activity. The researcher should retain one copy of the consent form signed by both themselves and the participant. In almost every instance, it should be provided in the form of a letter and accompanied by a written consent agreement that the participants sign. Use this as a guide. Informed consent involves an education and information exchange that takes place between the researcher and the potential subject.

Researchers conduct either in person at our research facilities or via online/remote access. Items 6 and 7 will not apply to any by signing this declaration, the researcher. A letter of consent is a written document granting permission. 10 sample letter of consent free documents in word pdf. Purpose and background insert researcher's name and affiliation is conducting research on insert what the research is about in terms understandable to the potential participant.

Informed Consent Wikipedia
Informed Consent Wikipedia from upload.wikimedia.org
I am enclosing the details regarding my research and also regarding the permissions which i have sought along with this letter. The the researcher must also send letters to the prospective principals in your study inviting their schools' participation. There are no anticipated risks or discomforts related to this research. Withdrawal without prejudice participation in this study is voluntary; Templates for action research letters. Informed consent guidelines templates research ethics compliance. Action research is conducted primarily on the researcher as it is about improving skills through taking action. Informed consent involves an education and information exchange that takes place between the researcher and the potential subject.

Withdrawal without prejudice participation in this study is voluntary;

• any variation of the conditions above will only occur with your further if you are worried about this research, or if you are concerned about how it is being conducted, you. The interviews will be conducted wherever you prefer (e.g. Access letter requesting permission to conduct research. The researcher needs to provide the following information, in the consent letter: You are free to withdraw consent and discontinue participation in. The the researcher must also send letters to the prospective principals in your study inviting their schools' participation. There are no anticipated risks or discomforts related to this research. Withdrawal without prejudice participation in this study is voluntary; In almost every instance, it should be provided in the form of a letter and accompanied by a written consent agreement that the participants sign. Part 3 even though the coca cola company may generally utilize quantitative research, it is important to understand the difference between. Similarly, the researcher must explain to participants the benefits, the course of study, and purpose of the intellectual inquiry. Publishing your results is a vital step in the research lifecycle, as it allows you to get your work seen by the scientific community, and exchange your ideas globally. • to develop a standing list of adults willing to be contacted to take part in these studies from time.

For any topic for research, it is the responsibility of the researcher to educate participants on the purpose, procedures, risks and benefits of a study before going ahead to obtain their consent letter to conduct research. I am enclosing the details regarding my research and also regarding the permissions which i have sought along with this letter.

Posting Komentar

Lebih baru Lebih lama

Facebook